媒体中心
当前位置:首页 >> 媒体中心 >> 行业新闻 >> 浏览

中国器审 | 体外诊断试剂临床试验中的分层分析

时间:2022/3/3 11:03:10点击:

在对于体外诊断试剂临床试验数据进行分析时,一般会对数据进行整体的统计分析,得到总受试人群中试剂的临床性能。此外,我们还会根据某些因素将总的受试人群分成若干“层”以进行分层分析,表明在具有某一特征人群中的试剂性能,有时也称其为亚组分析。在进行分层分析时,所分层的因素一般分为两类,包括“混杂因素”和“感兴趣因素”。这两类因素虽然都可以作为分层的依据,但因素的来源及意义完全不同。本文将对这两类分层分析进行归纳总结,以供参考。


一、基于混杂因素的分层分析


在了解基于混杂因素的分层分析之前,首先应了解“混杂因素”的定义。“混杂因素”来源于流行病学,又称干扰因子、干扰变量,是指与研究因素和研究疾病均有关的因素,若在比较的人群组中分布不匀,可以歪曲(掩盖或夸大)因素与疾病之间真正联系。也就是说混杂因素的存在,可以直接导致整体临床数据出现波动,使所得到的统计结果无法反映真实的临床性能。因此通常通过分层分析的方法对混杂因素的每个分类进行单独统计,从而消除该因素各分类的之间的比例不平衡对整体性能评价的影响。混杂因素一般通过科研结果、小范围试验、文献检索、临床经验等方面获得。体外诊断试剂临床试验中,常见的混杂因素一般包括来自于受试者年龄、病程、疾病分型、病毒载量、样本等。


例如,在新型冠状病毒抗原检测试剂临床试验中,试剂的整体临床性能并不是很好,即使跟核酸结果去比,性能也不是很理想,同时,各家数据也没有可比性。通过对检测原理的分析及阅读文献,抗原检测试剂的检测结果会受到样本的病毒载量的影响。病毒载量既与受试者的疾病状态相关,同时也影响着检测结果。因此,我们将病毒载量作为混杂因素,以核酸结果的CT值作为病毒载量的分层依据进行分层分析。当进行高、低载量分层后,试剂显示出了与高载量核酸检测结果很好的一致性,同时各家数据也显示出了相同的模式。据此,我们对抗原试剂的预期用途进行了合理的限定。


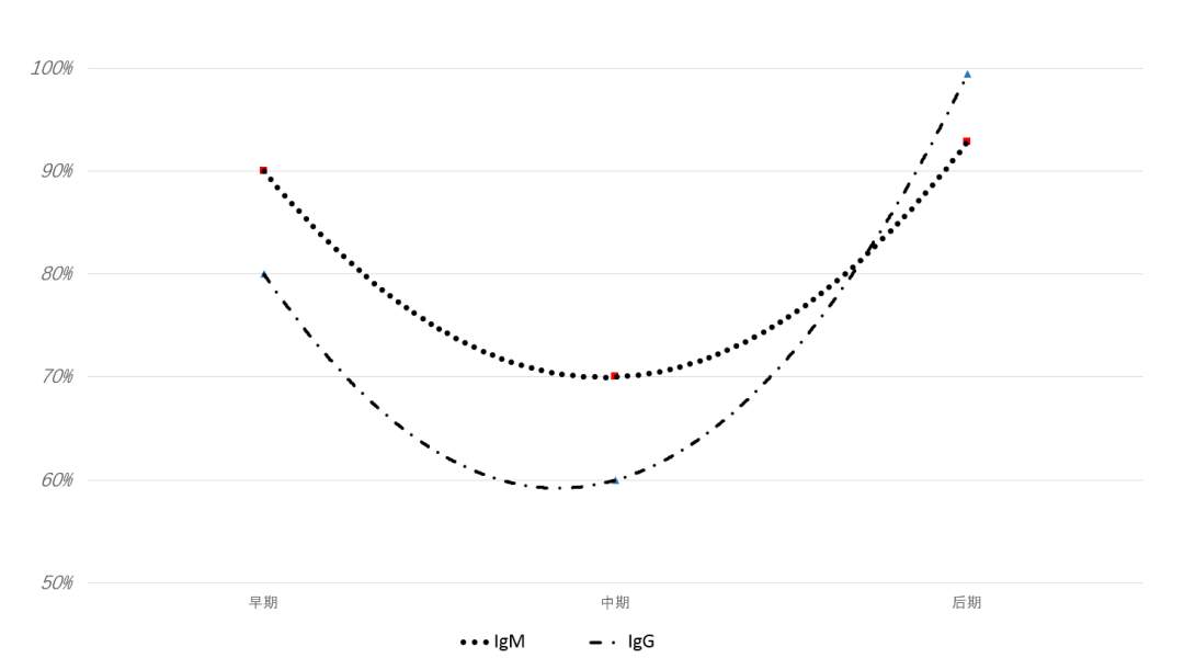
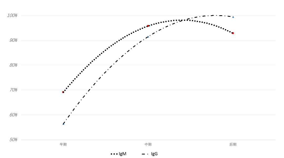
以上这个例子是在整体临床性能结果不好的情况下,为了解释结果所进行的混杂因素的分层分析。除此之外,在临床性能可接受时也需要进行分层分析,使临床试验的结果更加稳定。例如,在进行新冠抗体检测试剂临床性能评价时需根据受试者病程进行分层分析,其中发病0至7天为疾病早期,8到14天为疾病的中期,15天以后进入疾病的后期。在这个过程中,抗体水平会根据病程呈现相对固定的变化趋势。IgG抗体的水平会持续升高,IgM抗体水平会呈现疾病早期低、中期高、后期逐渐降低的趋势(如图A)。我们在对于一个试剂的临床试验数据进行审评时发现,这个试剂所展现的抗体水平与所认知的一般性能完全不符,两种抗体水平均呈现早、晚高,中期低(如图B)。但这个试剂整体临床性能却相当不错。这是因为它入组了较多的早期和后期受试者,从而提高了整体临床性能数据。如果仅进行整体入组人群的灵敏度、特异度分析是很难发现这样的问题的。


图片

A.正常分层分析图


图片

B.异常结果图

图 新冠抗体检测试剂分层分析


从以上两例子可以看出,进行混杂因素的分层分析的目的就是要对试剂的检测性能以现有的认知进行全面、准确的评价。


二、基于感兴趣因素的分层分析


在进行体外诊断试剂的临床性能评价时,还需要对于临床实践中关心的特定人群的分析。所感兴趣的因素与检测结果在临床诊疗、患者管理中的应用有关。一般这类因素包括年龄、性别、病程、基因型等。这类因素在进行分析时通常需要与临床医生进行充分的沟通,同时也可以通过临床阅读诊疗指南、文献总结得到。


比如对于新冠抗体试剂来说,在疫情初期我们就是要准确地找到新发的新冠患者,因此对于早期病例,也就是发病后0-7天的患者进行单独的性能分析,以证明试剂在新发病例中的检测性能。另外,对于新发病原体,我们要了解标志物的变化模式。因此在新冠抗体试剂审评要点中要求了纳入连续病例,通过图示法对标志物检测结果进行展示、分析,了解试剂检测结果的变化,并将其与该标志物的一般认知以及不同产品间所显示的变化趋势进行比较和评价。


有时所关心的亚组性能不理想也并不能说明试剂在这个亚组中的性能出现了问题,而应该分析具体原因。在一个基于荧光PCR法的乙型肝炎病毒核酸定量检测试剂盒的临床评价中,针对乙肝病毒的基因型这一感兴趣的因素进行了分层分析。对于临床较罕见的乙肝病毒D基因型的核酸定量性能进行评价时发现,考核试剂对D基因型的定量水平与对比试剂出现了严重的偏差(大于2个数量级)。经过实验室验证、临床试验数据及操作记录重新核验后发现,并不是试剂对于D基因型的定量性能出现了问题,而是由于D基因型属于稀缺的基因型,在临床试验中采用了富集研究,针对这部分样本进行了较为集中的检测。而在试验操作中此部分检测由于荧光阈值调整出现了批次间不一致导致。通过对荧光阈值进行标准化标定后,D基因型的定量水平与对比试剂之间不存在显著的差异。同时,也根据临床试验中出现的问题在说明书中加入了对荧光阈值设定的标准化标定步骤及注意事项内容。


分层分析的本质就是对特定的亚组进行分析,但亚组需要科学的设置和选择。这里面包括为准确评价试剂检测性能的基于混杂因素的分层分析,以及为准确评价试剂临床应用性能的基于感兴趣因素的分层分析。在进行试剂的临床性能评价时,要将两种分层分析的方式有机的结合,才能对试剂的临床性能进行全面、准确的评价。

免责声明

本文来源为其他媒体的内容转载,转载仅作观点分享,版权归原作者所有,如有侵犯版权,请及时联系我们。


上一篇:艾德生物与皮尔法伯达成中国市场伴随诊断战略合作

下一篇:Cytiva与通用生物合作!建设千克级小核酸生产FlexFactory灵活工厂项目

返回顶部